Rangkuman Rumus Pada Integral Tigonometri
Suatu fungsi trigonometri juga dapat diintegralkan. Untuk megintegralkan fungsi trigonometri ada beberapa rumus-rumus dasar yang perlu diketahui.

Selain rumus dasar integral di atas dalam mengintegralkan fungsi trigonometri juga digunakan identitas trigonometri. Berikut ini adalah beberapa identitas trigonometri yang sering digunakan.

Subtitusi dalam integral trigonometri
Subtitusi juga digunakan dalam integral trigonometri yaitu dengan mengubah bentuk fungsi trigonometri menjadi bentuk baku yaitu dengan mengubah fungsi menggunakan identitas trigonometri.
Dalam mengerjakan soal integral trigonometri kita perlu melakukan permisalan dalam pemisalan tersebut biasanya yang dimisalkan diturunkan atau kita menggunakan diferensial. Sehingga kita juga perlu memahami konsep diferensial.
Diferensial suatu fungsi adalah sebagai berikut
Misal :
u = 5x
du = 5 dx
1/5 du = dx
sehingga
∫ Sin 5x dx = ∫ Sin u 1/5 du
Ganti 5x dengan permisalan sebelumnya yaitu u. kemudian subtitusikan dx yaitu 1/5 du.
= 1/5 ∫ Sin u du
Kemudian lihat bentuk baku integral dari sin yaitu –cos.
= – 1/5 cos u
Karena sudah diintegralkan maka lambang integralnya hilang dan di tambah + C di akhir jawaban. Kemudia jangan lupa untuk mensubtitusikan nilai u yaitu 5x
= – cos 5x + C

Jawab :
Perhatikan bentuk integral tersebut.

Selanjutya kita melakukan pemisalan yaitu
U =x2
du =2x dx
1/2 du = x dx
Sehingga

Jawab :
Misal :
U = 6x
du = 6dx
1/6 du = dx
Kemudian karen adalam soal terdapat batas yaitu (0, π/2). Sehingga kita harus mensubtitusikan batas tersebut ke pemisalan.
U = 6x
Untuk x=0
U = 6.0 = 0
Untuk x= π/2
U = 6. π/2= 3π
Maka batasnya sekarang berubah yaitu menjadi (0,3π)
Sehingga

Ketika memiliki batas maka + C tidak perlu di tambakan saat hasil akhir.

Contoh :
Langkah pertama yaitu tentukan terlebih dulu mana u dan mana dv
Misalkan
(x + 3) adalah u, dan sisanya, cos (2x − π)dx sebagai dv,
u = (x + 3) …(Persamaan 1)
dv = cos (2x − π) dx …(Persamaan 2)
Langkah pertama selesai, kita tengok lagi rumus dasar integral parsial:
∫ u dv = uv − ∫v du
Terlihat di situ kita perlu u, perlu v dan perlu du. u nya sudah ada, tinggal mencari du dan v nya.
Dari persamaan 1, untuk menentukan du, caranya turunkan u nya,
u = (x + 3)
du/dx = 1
du = dx
Dari persamaan 2, untuk menentukan v,
dv = cos (2x − π)dx
atau
dv/dx = cos (2x − π)
dv/dx artinya turunan dari v adalah cos (2x − π), untuk mendapatkan v, berarti kita harus integralkan cos (2x − π) jika lupa, tengok lagi cara integral fungsi trigonometri,
v = ∫ cos (2x − π) dx = 1/2 sin (2x − π) + C
Kita rangkum lagi :
u = (x + 3)
v = 1/2 sin (2x − π)
du = dx
masukkan nilai-nilai yang sudah dicari tadi sesuai rumus integral parsial:
16 ∫ (x + 3) cos (2x − π)dx
Simpan dulu 16 nya, terakhir nanti hasilnya baru di kali 16
= uv − ∫v du
= (x + 3) 1/2 sin (2x − π) − ∫ 1/2 sin (2x − π) du
= 1/2 (x + 3) sin (2x − π) − ∫ 1/2 sin (2x − π) dx
= 1/2 (x + 3) sin (2x − π) − 1/2 {− 1/2 cos (2x − π) }
= 1/2 (x + 3) sin (2x − π) + 1/4 cos (2x − π)
kalikan 16, tambahkan + C nya
= 16 { 1/2 (x + 3) sin (2x − π) + 1/4 cos (2x − π) } + C
= 8 (x + 3) sin (2x − π) + 4 cos (2x − π) + C

- Bentuk Baku Integral Trigonometri

Selain rumus dasar integral di atas dalam mengintegralkan fungsi trigonometri juga digunakan identitas trigonometri. Berikut ini adalah beberapa identitas trigonometri yang sering digunakan.
- Identitas Trigonometri

Subtitusi dalam integral trigonometri
Subtitusi juga digunakan dalam integral trigonometri yaitu dengan mengubah bentuk fungsi trigonometri menjadi bentuk baku yaitu dengan mengubah fungsi menggunakan identitas trigonometri.
Dalam mengerjakan soal integral trigonometri kita perlu melakukan permisalan dalam pemisalan tersebut biasanya yang dimisalkan diturunkan atau kita menggunakan diferensial. Sehingga kita juga perlu memahami konsep diferensial.
Diferensial suatu fungsi adalah sebagai berikut
Dx axn = n . axn-1Contoh :
- ∫ Sin 5x dx tentukan integral tersebut !
Misal :
u = 5x
du = 5 dx
1/5 du = dx
sehingga
∫ Sin 5x dx = ∫ Sin u 1/5 du
Ganti 5x dengan permisalan sebelumnya yaitu u. kemudian subtitusikan dx yaitu 1/5 du.
= 1/5 ∫ Sin u du
Kemudian lihat bentuk baku integral dari sin yaitu –cos.
= – 1/5 cos u
Karena sudah diintegralkan maka lambang integralnya hilang dan di tambah + C di akhir jawaban. Kemudia jangan lupa untuk mensubtitusikan nilai u yaitu 5x
= – cos 5x + C
- Carilah
Jawab :
Perhatikan bentuk integral tersebut.

Selanjutya kita melakukan pemisalan yaitu
U =x2
du =2x dx
1/2 du = x dx
Sehingga
Jawab :
Misal :
U = 6x
du = 6dx
1/6 du = dx
Kemudian karen adalam soal terdapat batas yaitu (0, π/2). Sehingga kita harus mensubtitusikan batas tersebut ke pemisalan.
U = 6x
Untuk x=0
U = 6.0 = 0
Untuk x= π/2
U = 6. π/2= 3π
Maka batasnya sekarang berubah yaitu menjadi (0,3π)
Sehingga

Ketika memiliki batas maka + C tidak perlu di tambakan saat hasil akhir.
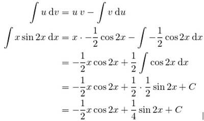
Integral Parsial
Rumus integral parsial yaituContoh :
- ∫ (x + 3) cos (2x − π)dx =…..
|____| |__________|
u dv
Langkah pertama yaitu tentukan terlebih dulu mana u dan mana dv
Misalkan
(x + 3) adalah u, dan sisanya, cos (2x − π)dx sebagai dv,
u = (x + 3) …(Persamaan 1)
dv = cos (2x − π) dx …(Persamaan 2)
Langkah pertama selesai, kita tengok lagi rumus dasar integral parsial:
∫ u dv = uv − ∫v du
Terlihat di situ kita perlu u, perlu v dan perlu du. u nya sudah ada, tinggal mencari du dan v nya.
Dari persamaan 1, untuk menentukan du, caranya turunkan u nya,
u = (x + 3)
du/dx = 1
du = dx
Dari persamaan 2, untuk menentukan v,
dv = cos (2x − π)dx
atau
dv/dx = cos (2x − π)
dv/dx artinya turunan dari v adalah cos (2x − π), untuk mendapatkan v, berarti kita harus integralkan cos (2x − π) jika lupa, tengok lagi cara integral fungsi trigonometri,
v = ∫ cos (2x − π) dx = 1/2 sin (2x − π) + C
Kita rangkum lagi :
u = (x + 3)
v = 1/2 sin (2x − π)
du = dx
masukkan nilai-nilai yang sudah dicari tadi sesuai rumus integral parsial:
16 ∫ (x + 3) cos (2x − π)dx
Simpan dulu 16 nya, terakhir nanti hasilnya baru di kali 16
= uv − ∫v du
= (x + 3) 1/2 sin (2x − π) − ∫ 1/2 sin (2x − π) du
= 1/2 (x + 3) sin (2x − π) − ∫ 1/2 sin (2x − π) dx
= 1/2 (x + 3) sin (2x − π) − 1/2 {− 1/2 cos (2x − π) }
= 1/2 (x + 3) sin (2x − π) + 1/4 cos (2x − π)
kalikan 16, tambahkan + C nya
= 16 { 1/2 (x + 3) sin (2x − π) + 1/4 cos (2x − π) } + C
= 8 (x + 3) sin (2x − π) + 4 cos (2x − π) + C
- ∫ x sin 2x dx = …

Concocted by Sir Isaac Newton, calculus figures numerical issues that are continually evolving. trig substitution
ReplyDelete