Materi Rumus Barisan dan Deret Geometri Lengkap
Ketika duduk di bangku SMA kalian akan memperoleh sebuah materi pelajaran matematika yang bernama Barisan dan Deret. Ada dua jenis Barisan dan Deret di dalam matematika. Yang pertama adalah Barisan dan Deret Aritmatika sementara yang kedua adalah Barisan dan Deret Geometri. Karena Rumus Matematika sudah pernah membahas Materi Barisan dan Deret Aritmatika, maka kali ini materi yang akan dibahas difokuskan kepada penjelasan mengenai definisi dan rumus-rumus yang digunakan dalam barisan dan deret geometri.
Di sini akan dijelaskan konsep dan rumus penyelesaian untuk Barisan dan deret Geometri, kemudian diberikan juga beberapa contoh soal dan penjelasan mengenai bagaimana cara menyelesaikan soal-soal tersebut dengan menggunakan rumus-rumus yang telah dijelaskan. So, simak materinya dengan baik, ya!
Pengertian dan Rumus Barisan Geometri
Barisan Geometri dapat didefinisikan sebagai barisan yang tiap-tiap sukunya didapatkan dari hasil perkalian suku sebelumnya dengan sebuah konstanta tertentu.
Contoh Barisan Geometri
untuk lebih memahami apa yang dimaksud dengan barisan geometri perhatikan contoh berikut:
3, 9, 27 , 81, 243, ...
barisan di atas adalah contoh barisan geometri dimana setiap suku pada barisan tersebut merupakan hasil dari perkalian suku sebelumnya dengan konstanta 3. maka bisa disimpulkan bahwa rasio pada barisan di atas adalah 3. rasio pada suatu barisan dapat dirumuskan menjadi:
r = ak+1/ak
dimana ak adalah sembarang suku dari barisan geometri yang ada. sementara ak+1 adalah suku selanjutnya setelah ak.
untuk menentukan suku ke-n dari sebuah barisan geometri, kita dapat menggunakan rumus:
Un = arn-1
dimana a merupakan suku awal dan r adalah nilai rasio dari sebuah barisan geometri.
Mari kita pelajari penggunaan rumus-rumus barisan geometri di atas dalam menyelesaikan soal:
Contoh Soal dan Pembahasan Barisan Geometri
Contoh Soal 1
Sebuah Bakteri mampu melakukan pembelahan diri menjadi 4 setiap 12 menit. berapakah jumlah bakteri yang ada setelah 1 jam apabila sebelumnya terdapat 3 buah bakteri?
Penyelesaian:
a = 3
r = 4
n = 1 jam/12 menit = 60/12 = 5
Masukkan ke dalam rumus:
Un= arn-1
U5= 3 x 45-1
U5= 3 x 256 = 768 bakteri
Pengertian dan Rumus deret Geometri
Deret geometri dapat diartikan sebagai jumlah dari n suku pertama pada sebuah barisan geometri. apabila suku ke-n dari suatu barisan geometri digambarkan dengan rumus: an = a1rn-1, maka deret geometrinya dapat dijabarkan menjadi:
Sn = a1 + a1r + a1r2+ a1r3 + ... + a1rn-1
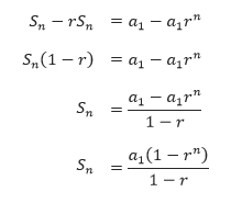
Apabila kita mengalikan deret geometri di atas dengan -r, lalu kita jumlahkan hasilnya dengan deret aslinya, maka kita akan memperoleh:
Setelah diperoleh Sn - rSn = a1 - a1rnmaka kita dapat mengetahui nilai dari suku n pertama dengan cara berikut ini:
Berdasarkan kepada hasil perhitungan di atas, maka dapat disimpulkan bahwa rumus jumlan n suku pertama pada sebuah barisan geometri adalah:
Perhatikan cara menggunakan rumus tersebut pada contoh soal di bawah ini:
Contoh Soal Deret Geometri
Contoh Soal 2
Tentukanlah jumlah 8 suku pertama dari barisan geometri 2, 8, 32, ...
Pembahasan:
a = 2
r = 4
n = 8
Sn = a (1-rn) / (1-r)
Sn = 2 (1-48) / (1-4)
Sn = 2 (1-65536)/ (-3)
Sn = 2 (-65535)/ (-3)
Sn = 2 x 21845
Sn = 43690




0 Response to "Materi Rumus Barisan dan Deret Geometri Lengkap"
Post a Comment